Cefepime Hydrochloride
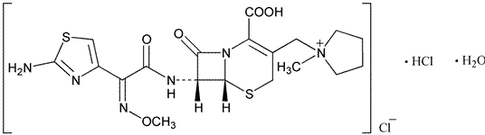
Click to View Image
C19H25ClN6O5S2·HCl·H2O 571.50
Pyrrolidinium,1-[[7-[[(2-amino-4-thiazolyl)(methoxyimino)acetyl]amino]-2-carboxy-8-oxo-5-thia-1-azabicyclo[4.2.0]oct-2-en-3-yl]methyl]-1-methyl-,chloride,monohydrochloride,monohydrate,[6R-[6a,7b(Z)]]-.
1-[[(6R,7R)-7-[2-(2-Amino-4-thiazolyl)glyoxylamido]-2-carboxy-8-oxo-5-thia-1-azabicyclo[4.2.0]oct-2-en-3-yl]methyl]-1-methylpyrrolidinium chloride,72-(Z)-(O-methyloxime),monohydrochloride,monohydrate [123171-59-5].
»Cefepime Hydrochloride contains the equivalent of not less than 825µg and not more than 911µg of cefepime (C19H24N6O5S2)per mg,calculated on the anhydrous basis.
Packaging and storage— Preserve in tight,light-resistant containers,and store at controlled room temperature.
Labeling— Where it is intended for use in preparing injectable dosage forms,the label states that it is sterile or must be subjected to further processing during the preparation of injectable dosage forms.
Identification,Infrared Absorption á197Mñ.
Test specimen— Proceed as directed in the chapter,but do not dry.
Crystallinity á695ñ: meets the requirements.
Bacterial endotoxins á85ñ Where the label states that Cefepime Hydrochloride is sterile or that it must be subjected to further processing during the preparation of injectable dosage forms,it contains not more than 0.04USP Endotoxin Unit per mg of cefepime hydrochloride.
Water,Method Iá921ñ: between 3.0%and 4.5%.
Residue on ignition á281ñ: not more than 0.1%.
Limit of N-methylpyrrolidine—
Mobile phase— Prepare a filtered and degassed mixture of 0.01Nnitric acid and acetonitrile (100:1).Make adjustments if necessary (see System Suitabilityunder Chromatography á621ñ).
Standard solution— Transfer about 0.16mLof N-methylpyrrolidine,accurately weighed,to a 100-mLvolumetric flask,dissolve in and dilute with water to volume,and mix.Transfer 4.0mLof this solution to a 100-mLvolumetric flask,dilute with 0.01Nnitric acid to volume,and mix.This solution contains about 0.05mg of N-methylpyrrolidine per mL.
Test solution— Transfer about 100mg of Cefepime Hydrochloride,accurately weighed,to a 10-mLvolumetric flask,dissolve in and dilute with 0.01Nnitric acid to volume,and mix.[NOTE—Use this solution within 30minutes.]
Chromatographic system (see Chromatography á621ñ)— The liquid chromatograph is equipped with a conductivity detector and a 4.6-mm ×5-cm column that contains 5-µm packing L52.The flow rate is about 1mLper minute.Chromatograph the Standard solution,and record the peak responses as directed for Procedure:the retention time of N-methylpyrrolidine is not less than 8minutes,and the relative standard deviation for replicate injections is not more than 5.0%.
Procedure— Separately inject equal volumes (about 100µL)of the Standard solutionand the Test solutioninto the chromatograph,record the chromatograms,and measure the peak responses for N-methylpyrrolidine.Calculate the percentage of N-methylpyrrolidine in the portion of Cefepime Hydrochloride taken by the formula:
1000(C/W)(rU/rS),
in which Cis the concentration,in mg per mL,of N-methylpyrrolidine in the Standard solution;Wis the quantity,in mg,of Cefepime Hydrochloride taken to prepare the Test solution;and rUand rSare the N-methylpyrrolidine peak responses obtained from the Test solutionand the Standard solution,respectively:not more than 0.3%is found.
Related compounds—
Potassium phosphate solution— Dissolve 0.68g of monobasic potassium phosphate in 1000mLof water.
Solution A— Prepare a mixture of Potassium phosphate solutionand acetonitrile (9:1).Adjust with a potassium hydroxide solution (2in 100)to a pHof 5.0,filter,and degas.
Solution B— Prepare a mixture of Potassium phosphate solutionand acetonitrile (1:1).Adjust with a potassium hydroxide solution (2in 100)to a pHof 5.0,filter,and degas.
Mobile phase— Use variable mixtures of Solution Aand Solution Bas directed for Chromatographic system.Make adjustments if necessary (see System Suitabilityunder Chromatography á621ñ).
System suitability solution— Prepare a solution of USP Cefepime Hydrochloride System Suitability RSin Solution Acontaining about 1.4mg per mL.
Test solution— Transfer about 70mg of Cefepime Hydrochloride,accurately weighed,to a 50-mLvolumetric flask,dissolve in and dilute with Solution Ato volume,sonicate,and mix.[NOTE—Inject this solution immediately,or store in a refrigerator and inject within 12hours.]
Chromatographic system (see Chromatography á621ñ)— The liquid chromatograph is equipped with a 254-nm detector and a 4.6-mm ×25-cm column that contains 5-µm packing L1.The flow rate is about 1mLper minute.The chromatograph is programmed as follows.
Time
(minutes)
Solution A
(%)
Solution B
(%)
Elution
0–10 100 0 isocratic
10–30 100®50 0®50 linear gradient
30–35 50 50 isocratic
35–36 50®100 50®0 linear gradient
Chromatograph the System suitability solution,and record the peak responses as directed for Procedure:the relative retention times are about 2.7for cefepime related compound A,4.3for cefepime related compound B,and 1.0for cefepime;and the resolution,R,between cefepime and cefepime related compound Ais not less than 5and between cefepime related compound Aand cefepime related compound Bis not less than 10.Chromatograph the Test solution,and record the peak responses as directed for Procedure:the capacity factor,k¢,is more than 0.6;the column efficiency is not less than 4000theoretical plates;and the tailing factor is not more than 1.1.
Procedure— Inject a volume (about 10µL)of the Test solutioninto the chromatograph,record the chromatogram,and measure the peak responses.Calculate the percentage of each impurity in the portion of Cefepime Hydrochloride taken by the formula:
100(ri/rs),
in which riis the peak response for each impurity;and rsis the sum of the responses for all the peaks:not more than 0.3%of cefepime related compound Ais found;not more than 0.2%of cefepime related compound Bis found;and not more than 0.1%of any other impurity is found.
Other requirements— Where the label states that Cefepime Hydrochloride is sterile,it meets the requirements for Sterilityunder Cefepime for Injection.
Assay—
Mobile phase— Dissolve 5.76g of sodium 1-pentanesulfonate in 2000mLof water.Adjust with glacial acetic acid to a pHof 3.4,and then with potassium hydroxide TSto a pHof 4.0.Prepare a filtered and degassed mixture of this solution and acetonitrile (94:6).Make adjustments if necessary (see System Suitabilityunder Chromatography á621ñ).
Standard preparation— Dissolve an accurately weighed quantity of USP Cefepime Hydrochloride RSin Mobile phaseto obtain a solution having a known concentration of about 1.4mg per mL.
Assay preparation— Transfer about 70mg of Cefepime Hydrochloride,accurately weighed,to a 50-mLvolumetric flask,dissolve in and dilute with Mobile phaseto volume,and mix.
Chromatographic system (see Chromatography á621ñ)— The liquid chromatograph is equipped with a 254-nm detector and a 3.9-mm ×30-cm column that contains packing L1.The flow rate is about 2mLper minute.Chromatograph the Standard preparation,and record the peak responses as directed for Procedure:the column efficiency is not less than 1500theoretical plates;the tailing factor is not more than 1.7;and the relative standard deviation for replicate injections is not more than 2.0%.
Procedure— Separately inject equal volumes (about 10µL)of the Standard preparationand the Assay preparationinto the chromatograph,record the chromatograms,and measure the responses for the major peaks.Calculate the quantity,in µg,of cefepime (C19H24N6O5S2)in each mg of Cefepime Hydrochloride taken by the formula:
50(CP/W)(rU/rS),
in which Cis the concentration,in mg per mL,of USP Cefepime Hydrochloride RSin the Standard preparation;Pis the content,in µg per mg,of cefepime in USP Cefepime Hydrochloride RS;Wis the weight,in mg,of Cefepime Hydrochloride taken to prepare the Assay preparation;and rUand rSare the peak responses obtained from the Assay preparationand the Standard preparation,respectively.
Auxiliary Information— Staff Liaison:William W.Wright,Ph.D.,Scientific Fellow
Expert Committee:(PA7)Pharmaceutical Analysis 7
USP28–NF23Page 377
Pharmacopeial Forum:Volume No.29(5)Page 1437
Phone Number:1-301-816-8335